唯彩看球

又添新人!中国足协终身禁赛大名单总览

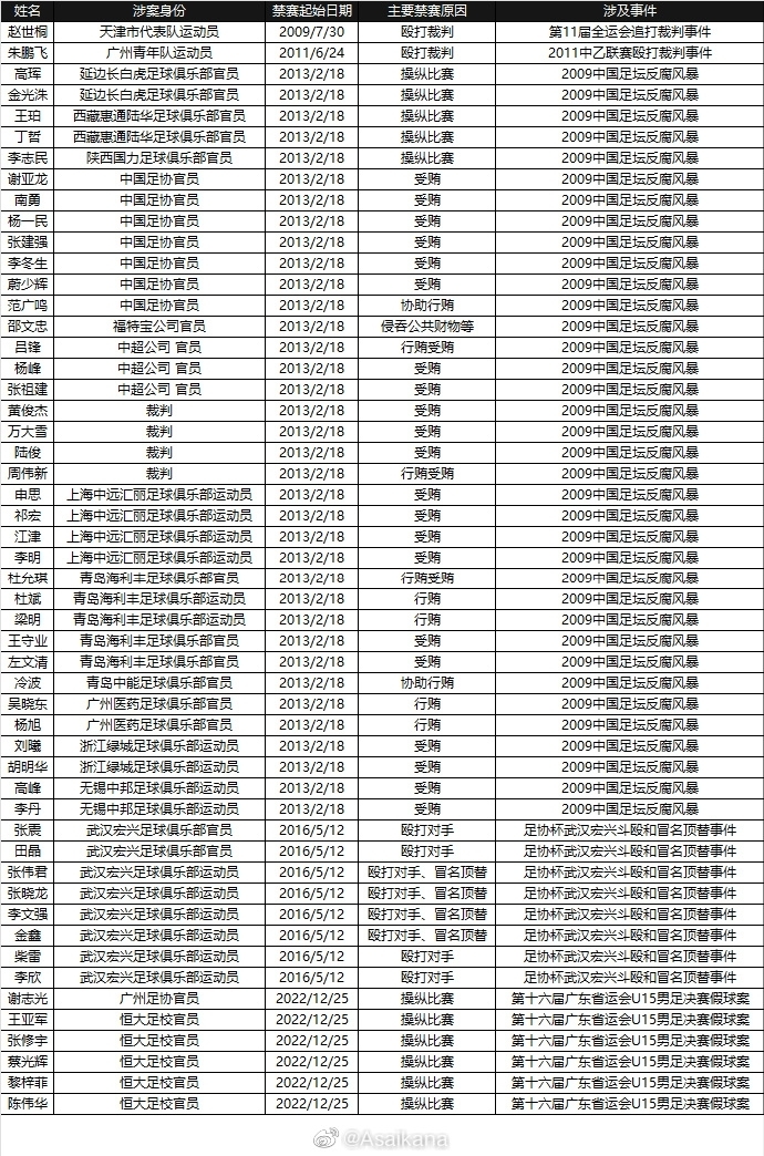
唯彩看球迅 昨日,中国足协就“广东省运会U15假球案”给出了官方处罚公告,其中有6名官员遭到足协官方禁赛。以下是中国足协终身禁赛大名单。

更多优质推荐:

足球买量比分布

俄超

胜负彩开奖

中国足协 唯彩会app 广东省运会U15假球案

相关推荐

评论正在加载...